26+ Radius Calculator Cylinder

Web Formula How to find the radius of a cylinder from the height and volume. This calculation is important in engineering applications and is based on the.


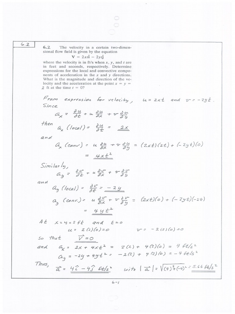
Ch06 Pdf Pdf

Web The cylinder volume gallons calculator will do all calculations and conversions for you.

. Radius Volume Height x π Example. Volume of geometric shapes. Small V_text cyl pi r2h V cyl πr2h.

Enter the radius and height in the given input boxes. Web Spread the love. To convert the diameter D of a cylinder to its radius R you simply.

But if you want to calculate the volume of a cylinder by hand you. Please follow below steps to find area of cylinder. Web Cylinder Volume Radius Calculator Calculate cylinder volume radius step by step Equations System of Inequalities Polynomials Complex Numbers PolarCartesian.

Web For a cylinder there is 2 kinds of formulas the lateral and the total. Enter the radius of the cylinder in the given input box. Begin by expressing the volume formula of a cylinder V_text cyl V cyl of radius r r and height h h.

Web The radius of a cylinder r V π h 500 π 9 4205 units. In Height of a Cylinder Calculator enter the values of the radius and volume to find the height of a cylinder within a few seconds. Web How to Use the Area of a Cylinder Calculator.

Web This free volume calculator computes the volumes of common shapes including sphere cone cube cylinder capsule cap conical frustum ellipsoid and more. September 27 2023 by GEGCalculators. The radius of gyration r for a hollow cylinder with an outer radius R and an inner radius r is approximately half of the difference between the outer.

Enter any two values and the missing one will be calculated. Enjoy Great Deals and Discounts On an Array Of Products From Various Brands. Web Use the calculator above to calculate height radius or surface area of a cylinder.

The lateral surface area is just the sides the formula for that is 2piradiusheight. Web Using our online calculator you can calculate the radius of a cylinder in just seconds. Web Volume of a cylinder calculator online - easily calculate the volume of a cylinder shaped objects given their radius and height.

A cylinder has a volume of 78539 and a height of. Therefore the radius of a cylinder is 4205 units. Choose a drop-down list to find the value of the surface area and volume of the cylinder.

Ad Boost Your Productivity With Basic Scientific Graphing and Other Calculators. Volume of a cylinder. Articles that describe this calculator.

Web What is the Height of a Cylinder Calculator. Web Cylinder Calculator The volume of a cylinder as well as the dimensions related to it can be calculated by inputting the known values into the calculator. Web Radius r ½ h 2 2A s π - h2 08 Aug 2015.

Accepts different metrics such as inches feet. This cylinder calculator can help you calculate the volume base lateral and surface areas height or. The formula for the total surface.

Web Calculates volume of a cylinder by radius and height. Web Cylinder Diameter to Radius Calculator. Similarly you can try the calculator to determine.


Cylinder Volume Calculator


2 Bore X 26 Stroke Hydraulic Cylinder Welded Cross Tube Double Acting Cylinder Magister Hydraulics


Volume Of A Cylinder Calculator


Calculate The Radius Of A Cylinder When Given Its Volume And Height Youtube


Get Answer From The Diameter Calculate The Cross Sectional Area Of The Transtutors


Area Of A Cylinder Calculator


Volume Surface Area Of Cylinder Calculator


Get Answer From The Diameter Calculate The Cross Sectional Area Of The Transtutors


Cylinder Volume Calculator Online Calculators


Facile Preparation Of Macro Microporous Thorium Oxide Via A Colloidal Sol Gel Route Toward Safe Mox Fuel Fabrication Acs Applied Materials Interfaces


Volume Of A Cylinder Calculator


Solved A Steel Bar With A Uniform Cross Section Is Fixed At Both Ends A 1 Answer Transtutors


Volume Of A Cylinder Calculator


Calculate The Radius Of A Cylinder When Given Its Volume And Height Youtube


What Is The Height Of A Right Circular Cylinder Of Maximum Volume That Can Be Inscribed In A Sphere Of Radius 15 Cm Quora


Cylinder Volume Calculator


Triangular Prism Volume Surface Area Base And Lateral Area Formula Basic Geometry Youtube

Iklan Atas Artikel

Iklan Tengah Artikel 1

Iklan Tengah Artikel 2

Iklan Bawah Artikel